• Предмет: Алгебра
  • Автор: hayimsemenrus
  • Вопрос задан 3 года назад

ПОМОГИТЕ СДЕЛАТЬ ВАРИАНТА СРОЧНО

Приложения:

Ответы

Ответ дал: asphyxik
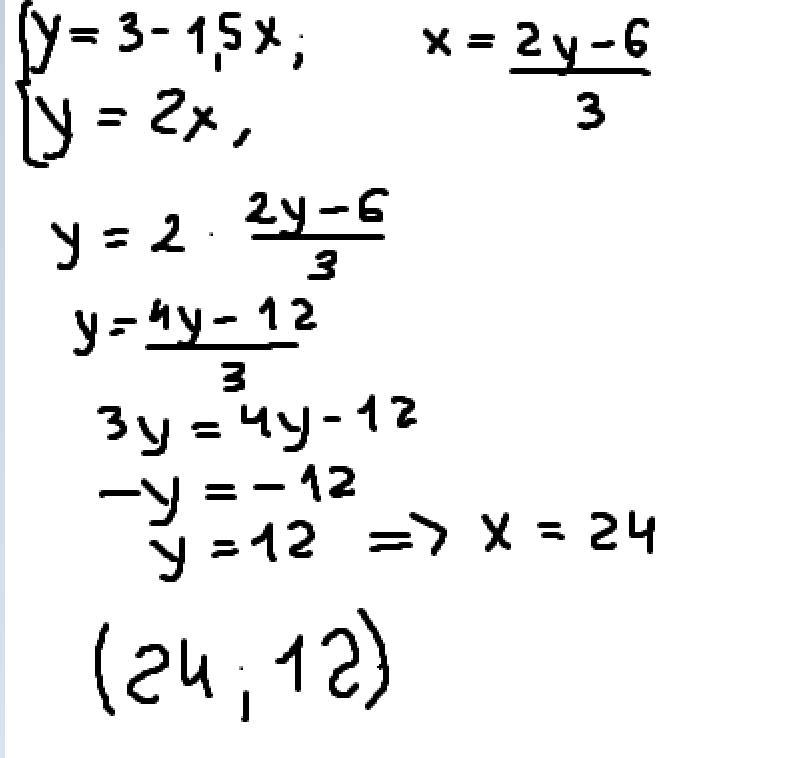
1

текст текст текст текст

Приложения:
Вас заинтересует