ПОМОГИТЕ ПРОШУ ЭТО ОНЛАЙН МЕКТЕП СОР ПО ГЕОМЕТРИИ ОДНО.
НУЖНО С РЕШЕНИЕМ, ДАМ 30 БАЛЛОВ!!!!
Приложения:

Ответы
Ответ дал:
0
Ответ:
.........................................
Приложения:

Ответ дал:
0
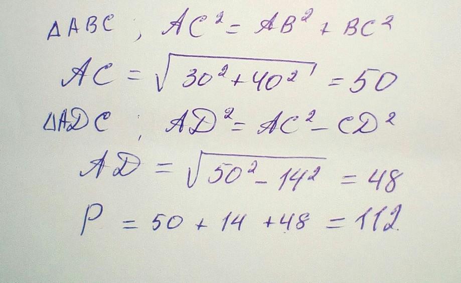
Ответ:
периметр = 112
.......
Объяснение:
AC=√40²+30²=50
AD=√50²-14²=48
50+48+14=112
morozovsasha04:
давай 30 баллов)
Вас заинтересует
2 года назад
2 года назад
2 года назад
2 года назад
7 лет назад
7 лет назад
9 лет назад