Ответы
Ответ дал:
1
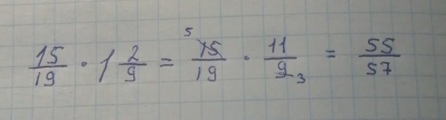
Для начала переведём вторую дробь в неправильную:
1 2/9= 11/9
Теперь перемножим дроби:
15/19*11/9=5/19*11/3=55/57
Если помог то отметь пожалуйста как лучший ответ и нажми спасибо :3
1 2/9= 11/9
Теперь перемножим дроби:
15/19*11/9=5/19*11/3=55/57
Если помог то отметь пожалуйста как лучший ответ и нажми спасибо :3
Ответ дал:
0
Ам... Ам... Ну вот... :D
Приложения:
Вас заинтересует
2 года назад
2 года назад
2 года назад
2 года назад
8 лет назад
8 лет назад