• Предмет: Алгебра
  • Автор: motilekgtr453
  • Вопрос задан 3 года назад

Пж помагите решить срочно!!!!

Приложения:

Zombynella: По правилам сайта нельзя выкладывать в одном задании больше 3 вопросов (примеров). Потом модераторы удаляют и ваши задания, и наши решения. Делите на части.
motilekgtr453: Всё я разделил как вы сказали.
motilekgtr453: Можете пожалуйста помочь с решением?

Ответы

Ответ дал: Zombynella
1

Ответ:

В решении.

Объяснение:

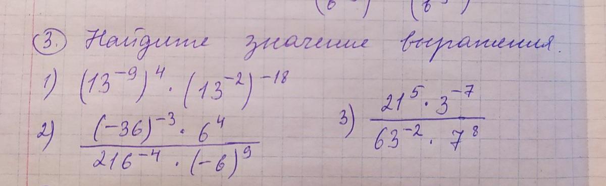
3.

1) (13⁻⁹)⁴ * (13⁻²)⁻¹⁸ =

=13⁻⁹*⁴ * 13⁻²*⁻¹⁸ =

=13⁻³⁶ * 13³⁶ =

=1/13³⁶ * 13³⁶ =

=13³⁶/13³⁶ = 1.

2) ((-36)⁻³ * 6⁴)/(216⁻⁴ * (-6)⁹ =

=((-(6)²)⁻³ * 6⁴)/ (((6³)⁻⁴ * (-6)⁹) =

= (-(6⁻⁶ * 6⁴))/(6⁻¹² * (-6)⁹) =

=(-(6⁻⁶⁺⁴))/(-(6⁻¹²⁺⁹)) =

=(-(6⁻²)/(-(6⁻³) =

= 1/6⁻¹ = 1 : 1/6 = 6.

3) (21⁵ * 3⁻⁷)/(63⁻² * 7⁸) =

= (7⁵ * 3⁵ * 3⁻⁷)/(7⁻² * 9⁻² * 7⁸) =

=(7⁵ * 3⁵ * 3⁻⁷)/(7⁻² * (3²)⁻² * 7⁸) =

=(7⁵ * 3⁵ * 3⁻⁷)/(7⁻² * 3⁻⁴ * 7⁸) =

=(7⁵ * 3⁻²)/(7⁶ * 3⁻⁴) =

= (7⁵ * 1/3²) : (7⁶ * 1/3⁴) =

= 7⁵/3² : 7⁶/3⁴ =

=(7⁵ * 3⁴)/(3² * 7⁶) =

=3²/7 = 9/7.


motilekgtr453: Спасибо большое вам
Zombynella: ))
Вас заинтересует