• Предмет: Алгебра
  • Автор: grishkash7
  • Вопрос задан 3 года назад

это очень важно и срочно пожалуйста умоляю до 13:30 по Московскому времени​

Приложения:

grishkash7: если что спрашивайте
grishkash7: в 3 задании буква б) 100000*((-0,1х³у⁴)²)³
grishkash7: в букве а) (2m²n)²*(-5m³nk²)²

Ответы

Ответ дал: serovaksusa1
2

Ответ:

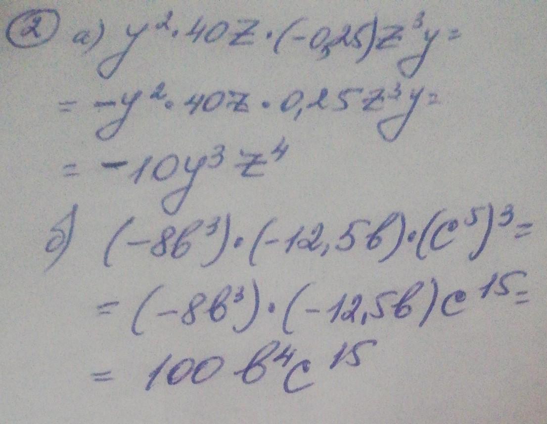
Смотри решение на фото

Приложения:

grishkash7: пж(
serovaksusa1: я их сделала, но скинуть могу только или в литературу или в географию, там свободно или написать эти примеры, как вы всегда пишите, чтобы вам помогли решить, думайте и ответьте мне
serovaksusa1: туда, где вы писали про Тараса Бульбу, жду ответ
grishkash7: да
grishkash7: окей там где про Тараса Бульбу
grishkash7: тогда
grishkash7: туда где про Тараса Бульбу
grishkash7: ну что((((
serovaksusa1: я вам скинула, смотрите в Тарасе
serovaksusa1: нашли?
Вас заинтересует