• Предмет: Математика
  • Автор: Аноним
  • Вопрос задан 3 года назад

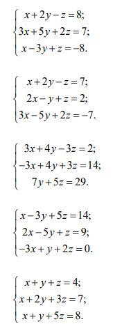
1. Решить методом Крамера. 2.Решить методом Гаусса

Приложения:

Ответы

Ответ дал: dilnozahabibova9
0

Ответ:

Сначала находм основной определитель, т. е. без столбца свободных членов, получаем = 8

Далее находит 1 2 и 3 определители вместо каждого столбца подставляем столбец свободных членов, получаем 16, 44, 8

И в итоге х=16/8=2, у=44/8=5,5, z=8/8=1

Как то так)

Вас заинтересует