• Предмет: Геометрия
  • Автор: omelchenckomaria0708
  • Вопрос задан 3 года назад

Задача на фото, буду благодарна за помощь!

Приложения:

Ответы

Ответ дал: TheAgressivePanda
1

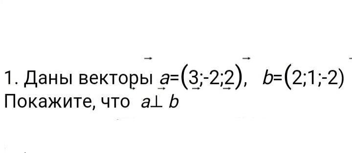
3*2+(-2)*1+2*(-2)=0  они перпендикулярны

Вас заинтересует