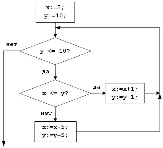
Определите значения переменной «x» после выполнения фрагмента алгоритма.
Умоляю помогите !!!!!
Приложения:

Ответы
Ответ дал:
1
Відповідь:
x=2
y=13
Пояснення:
Вас заинтересует
2 года назад
2 года назад
2 года назад
2 года назад
7 лет назад
7 лет назад
9 лет назад