Ответы
Ответ дал:
1
Ответ:
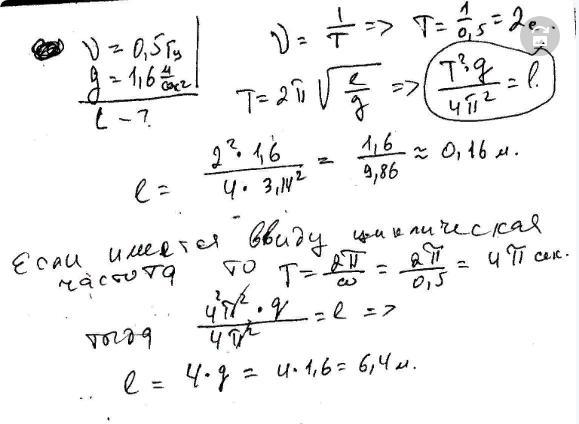
Вроде бы вот это правильно ( лучше проверьте я просто не уверен )
Объяснение:
Приложения:

Вас заинтересует
2 года назад
2 года назад
7 лет назад
9 лет назад