• Предмет: Алгебра
  • Автор: hanna111tr
  • Вопрос задан 3 года назад

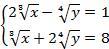
ПОМОГИТЕ ПОЖАЛУЙСТА Найдите x+y, если (x; y) – решение системы уравнений:

Приложения:

Ответы

Ответ дал: igorokgo228
1

Ответ:

Ответ: х=8; у=81.

Объяснение:

Введем замену  3√х =а,  4√y =b

2a - b = 1     (1)

a + 2b = 8    (2)          a = 8 -2b

Подставим а в (1):    2(8-2b) -b =1;      16 - 4b -b =1;      -5b=-15;    b=3

a=8 -2*3 = 8 -6 = 2

3√х =2,                x= 23 = 8

4√y =3,                y= 34 =81

Ответ:  х=8;  у=81.

Вас заинтересует