Ответы
Ответ дал:
1
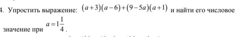
Ответ: -14
..........
..........
Приложения:

makienkodarina:
спасибо большое
Вас заинтересует
2 года назад
2 года назад
2 года назад
7 лет назад
9 лет назад