• Предмет: Алгебра
  • Автор: makienkodarina
  • Вопрос задан 3 года назад

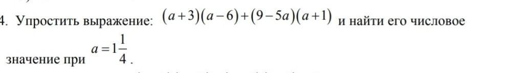
Упростите выражение.Алгебра 7 класс. Помогитееее пожалуйстаааа​

Приложения:

Ответы

Ответ дал: vesta0612072
0

Ответ:

-11/4= -2 3/4

Объяснение:

вот ответ

Вас заинтересует