СРОЧНО КТО РЕШИТ ПРАВИЛЬНО ТОМУ ДАМ 35БАЛЛОВ!!!!!!!!
Приложения:

Аноним:
ПОДРУГЕ СРОЧНО НУЖНО
-12/5у или -2,4у
Ответы
Ответ дал:
2
Ответ:
Пошаговое объяснение:
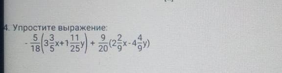
=-5\18(18\5х+36\25у)+9\20(20\9х-40\9у)=-х-2\5у+х-2у=-2 2\5у
Вас заинтересует
2 года назад
2 года назад
2 года назад
7 лет назад
7 лет назад
9 лет назад