• Предмет: Алгебра
  • Автор: Tolikvvv
  • Вопрос задан 3 года назад

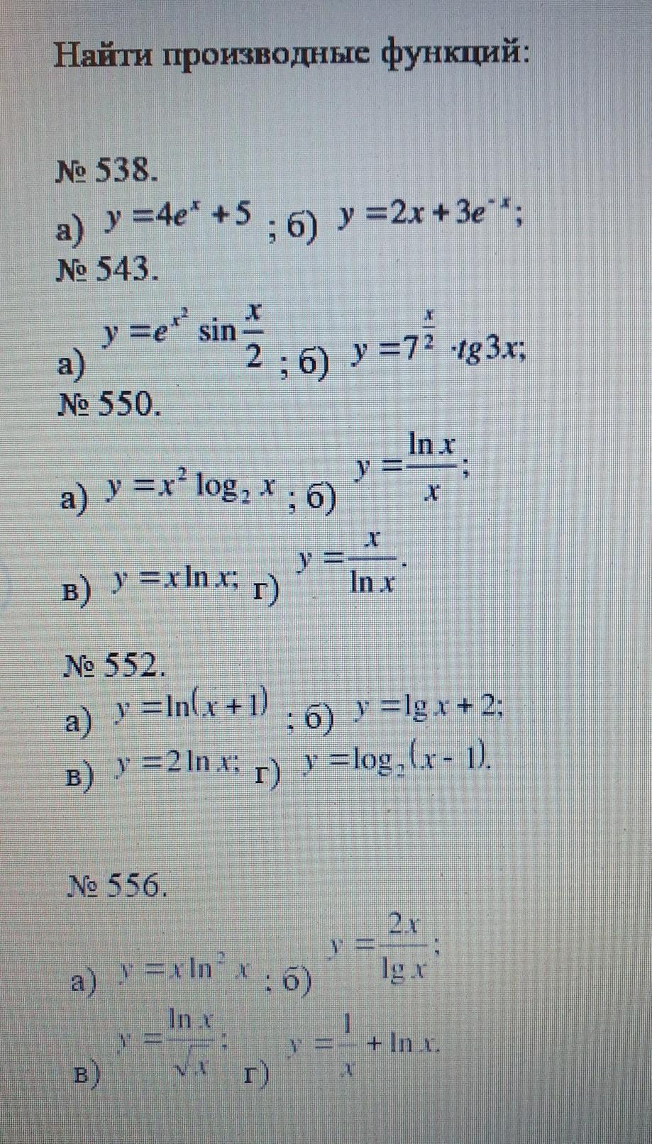
ПОМОГИТЕ НАЙТИ ПРОИЗВОДНЫЕ (КРОМЕ ПЕРВЫХ ДВУХ) все что сможете сами решить​

Приложения:

Ответы

Ответ дал: Miroslava227
1

543

а)

y' = 2x {e}^{ {x}^{2} }  \sin( \frac{x}{2} )  +  \cos( \frac{x}{2} )  \times  \frac{1}{2}  {e}^{ {x}^{2} }  = \\  =   {e}^{ {x}^{2} } (2x \sin( \frac{x}{2} )  +  \frac{1}{2}  \cos( \frac{x}{2} ) )

б)

y' =  ln(7)  \times  {7}^{ \frac{x}{2} }  \times  \frac{1}{2}   \times tg(3x) +  \frac{1}{ {cos}^{2} (3x)}  \times 3 \times  {7}^{ \frac{x}{2} } =  \\  =  {7}^{ \frac{x}{2} }  ( \frac{ ln(7)  \times tg(3x)}{2}  +  \frac{3}{ {cos}^{2}(3x) } )

550

а)

y' = 2x  log_{2}(x)  +  \frac{ {x}^{2} }{ ln(2)  \times x}  =  \\  = 2x  log_{2}(x)  +  \frac{x}{ ln(2) }

б)

y' =  \frac{ \frac{1}{x}  \times x -  ln(  x ) }{ {x}^{2} }  =  \frac{1 -  ln(x) }{ {x}^{2} }

в)

y' =  ln(x)  +  \frac{1}{x}  \times x =  ln(x)  + 1

г)

y' =  \frac{ ln(x)  - x \times  \frac{1}{x} }{ { ln}^{2}(x) }  =  \frac{ ln(x) - 1 }{  { ln }^{2}(x)  }

552

а)

y' =  \frac{1}{x + 2}

б)

y' =  \frac{1}{ ln(10)  \times x}

в)

y' =  \frac{2}{x}

г)

y' =  \frac{1}{(x - 1)ln(2) }

556

а)

y' =   {ln}^{2} (x) + 2x ln(x)  \times  \frac{1}{x}  =  {ln}^{2} (x) + 2 ln(x)

б)

y' =  \frac{2lg(x) -  \frac{1}{x ln(10) } \times x }{ {lg}^{2} (x)}  =  \\  =  \frac{2lg(x) -  \frac{1}{ ln(10) } }{ {lg}^{2}(x) }

в)

y' =  \frac{ \frac{1}{x}  \times  \sqrt{x} -  \frac{1}{2 \sqrt{x} }   ln(x) }{x}  =  \\  =  \frac{ \frac{1}{ \sqrt{x} } -  \frac{ ln(x) }{2 \sqrt{x} }  }{ x }  =  \frac{1}{x \sqrt{x} }  -  \frac{ ln(x) }{2x \sqrt{x} }  =  \\  =  \frac{2 -  ln(x) }{2x \sqrt{x} }

г)

y' =  -  {x}^{ - 2}  +  \frac{1}{x}  =  -  \frac{1}{ {x}^{2} }  +  \frac{1}{x}


Tolikvvv: спасибо огромное
Вас заинтересует