Ответы
Ответ дал:
1
Ответ:
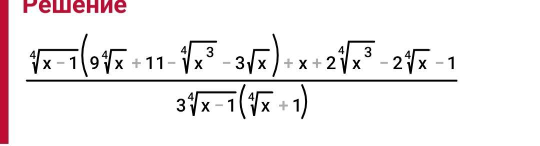
Вот ответ но наверное есть опечатка в примере
Объяснение:
Приложения:

ArianaLeonhart:
Спасибо вам большое!
Вас заинтересует
2 года назад
2 года назад
2 года назад
2 года назад
7 лет назад
7 лет назад