Ответы
Ответ дал:
0
Ответ:
Пошаговое объяснение:
Приложения:

Ответ дал:
0
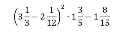
Ответ на фото! Удачи! Надеюсь разберёшься в моем почерке!
Приложения:

Вас заинтересует
2 года назад
2 года назад
2 года назад
2 года назад
7 лет назад
7 лет назад
9 лет назад