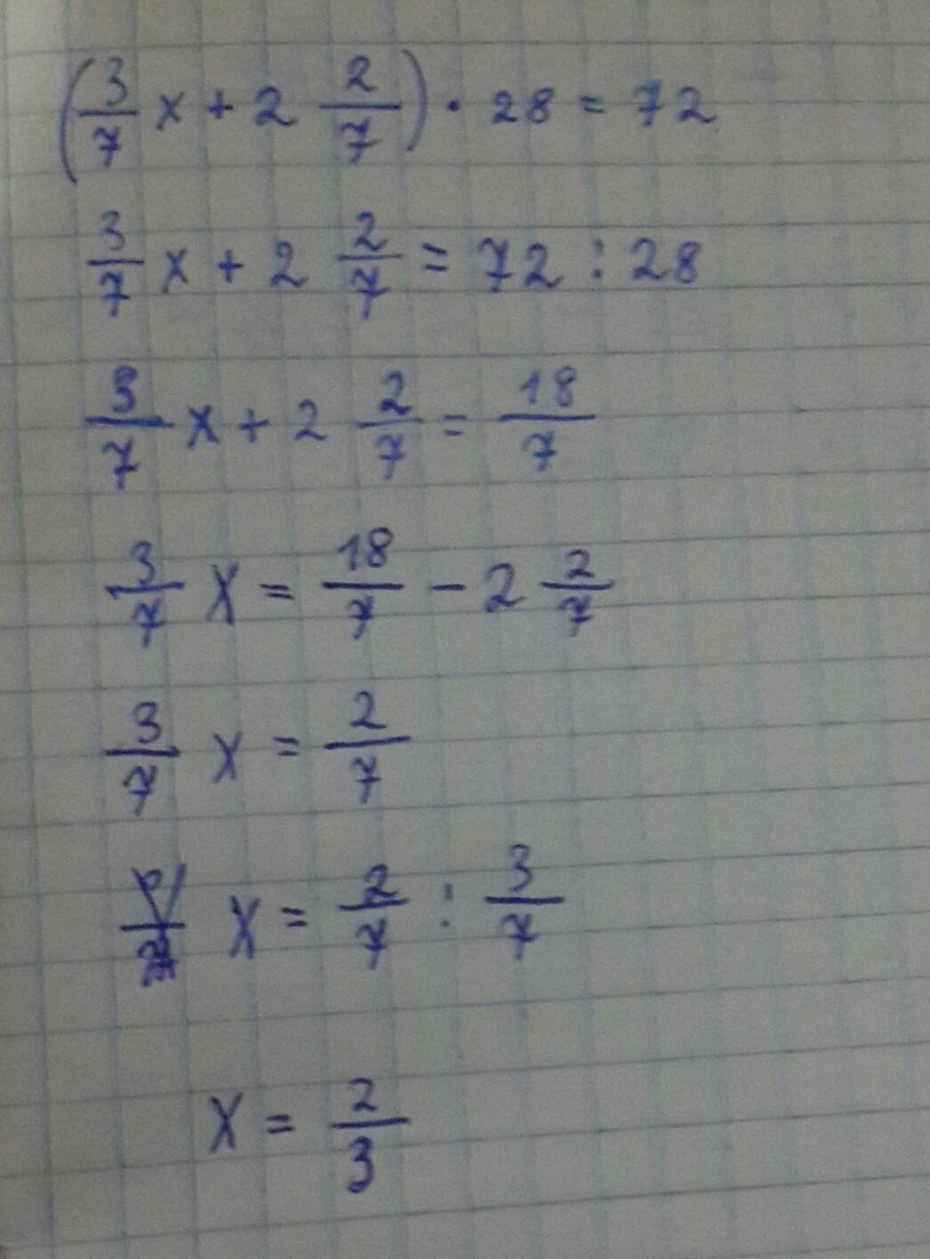
решите уровнение(3/7x+2. 2/7)×28. =72
ALEXEY987:
пж пж пжп пжп пж пжп пжп пж
Ответы
Ответ дал:
1
Ответ:
вот
Пошаговое объяснение:
когда × переходит на другую сторону он поеврошяется в ÷.А + в -
Приложения:

Вас заинтересует
2 года назад
2 года назад
2 года назад
7 лет назад
9 лет назад
9 лет назад