• Предмет: Математика
  • Автор: milano4kapoltavets
  • Вопрос задан 3 года назад

сделайте пожалуйста. буду очень благодарна!! ​

Приложения:

Ответы

Ответ дал: alesyaperova
1

Пошаговое объяснение:

решение на фото..........

Приложения:
Ответ дал: krampus777
1

Ответ:

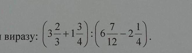
(3 \frac{2}{3 }  + 1 \frac{3}{4} ) \div (6 \frac{7}{12}  - 2 \frac{1}{4} ) \\ ((3 + 1) + ( \frac{2}{3}  +  \frac{3}{4} )) \div ( \frac{79}{12}  -  \frac{9}{4} ) \\ (4 +  \frac{17}{12} ) \div  \frac{13}{3}  \\ (4 +  \frac{17}{12} )  \times  \frac{3}{13}  \\ (4 + 1 +  \frac{5}{12} ) \times  \frac{3}{13}  \\ 5 \frac{5}{12}  \times  \frac{3}{13}  \\  \frac{65}{12}  \times  \frac{3}{13}  \\  \frac{5}{4}  = 1 \frac{1}{4}  = 1.25

Вас заинтересует