Ответы
Ответ дал:
0
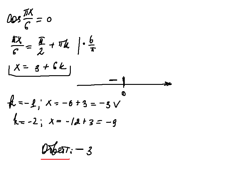
СМ. ВЛОЖЕНИЕ
===================================
===================================
Приложения:

Вас заинтересует
2 года назад
2 года назад
10 лет назад
10 лет назад