Ребяят, помогите, не понимаю эту алгебру. 30БАЛЛОВ
Приложения:

mrXnissa:
Ребят, кто то отвечает??
Ответы
Ответ дал:
1
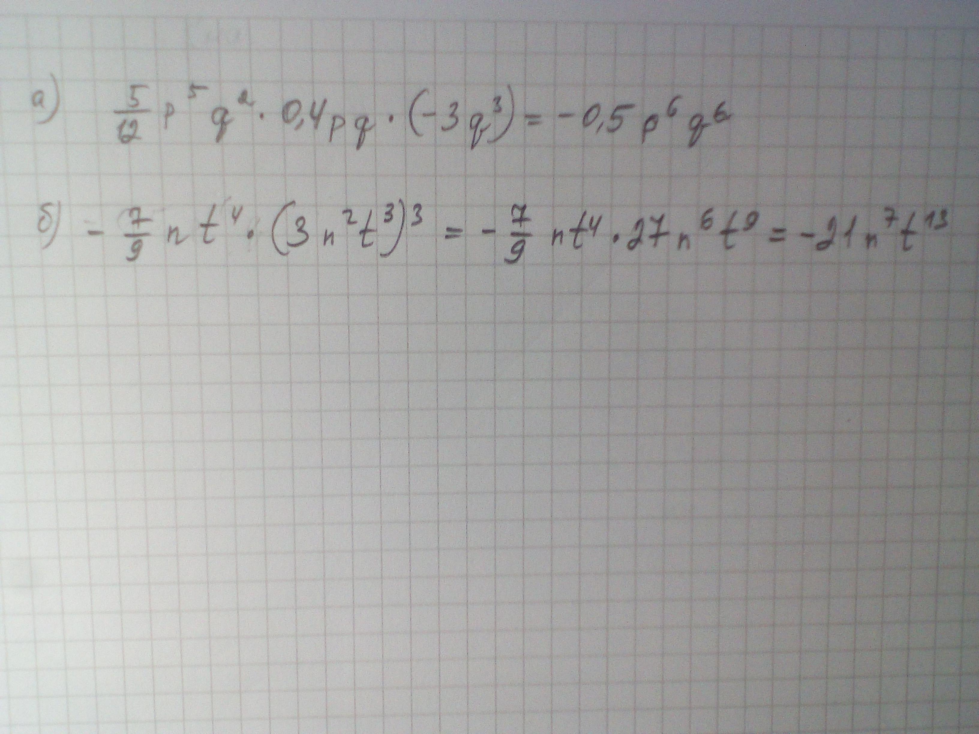
Объяснение:
а) сначала перемножьте коэффициенты, потом буквенные выражения со степенями; при умножениии знаки степеней складываются
б) сначала возведите в степень выражение в скобках; при возведении степени в степень показатели степеней перемножаются; потом перемножьте коэффициенты и буквенные выражения
Всё это очень подробно описано в учебниках, которыми вы зря пренебрегаете. Алгебру лучше всё-таки понимать.
Приложения:

Вас заинтересует
2 года назад
2 года назад
2 года назад
7 лет назад
9 лет назад
9 лет назад