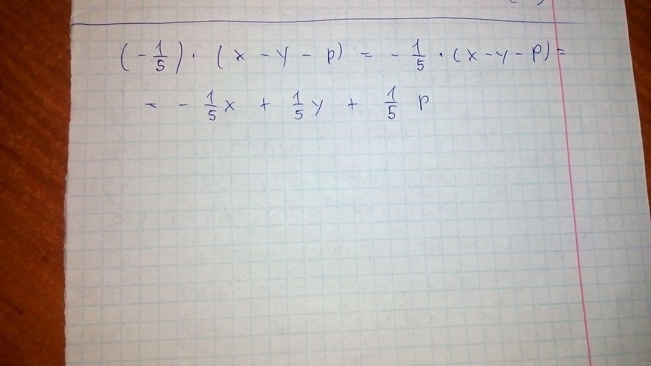
Найди произведение многочлена и одночлена (−1/5)⋅(x−y+p).
Ответ - (ответ сюдп)/(ответ сюда) x (ответ сюда) 1/5у (ответ сюда) 1/5 (ответ сюда)
Ответы
Ответ дал:
1
Ответ: Фото.
Объяснение:
Приложения:

Вас заинтересует
2 года назад
2 года назад
2 года назад
2 года назад
7 лет назад
7 лет назад
9 лет назад