• Предмет: Алгебра
  • Автор: viktoria9910
  • Вопрос задан 3 года назад

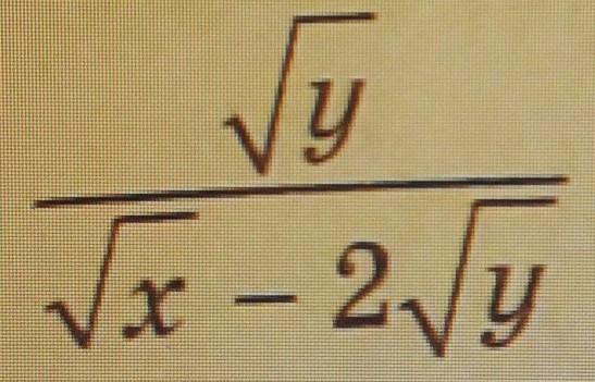
Освободитесь от иррациональности в знаменателе дроби​

Приложения:

Ответы

Ответ дал: sunnatxoja77
1

\frac{\sqrt{y} }{\sqrt{x}-2\sqrt{y}  } *\frac{\sqrt{x}+2\sqrt{y}}{\sqrt{x}+2\sqrt{y}} =\frac{\sqrt{xy}+2y }{x-4y}

Ответ дал: table123
1

Ответ:

Объяснение:

домножим числитель и знаменатель,   (V -корень),

=Vy *(Vx+2Vy) /(Vx-2Vy)(Vx+2Vy) =(Vxy+2y) /(x-4y)

(a-b)(a+b)=a^2-b^2

Вас заинтересует