• Предмет: Математика
  • Автор: Настенька9999999999
  • Вопрос задан 3 года назад

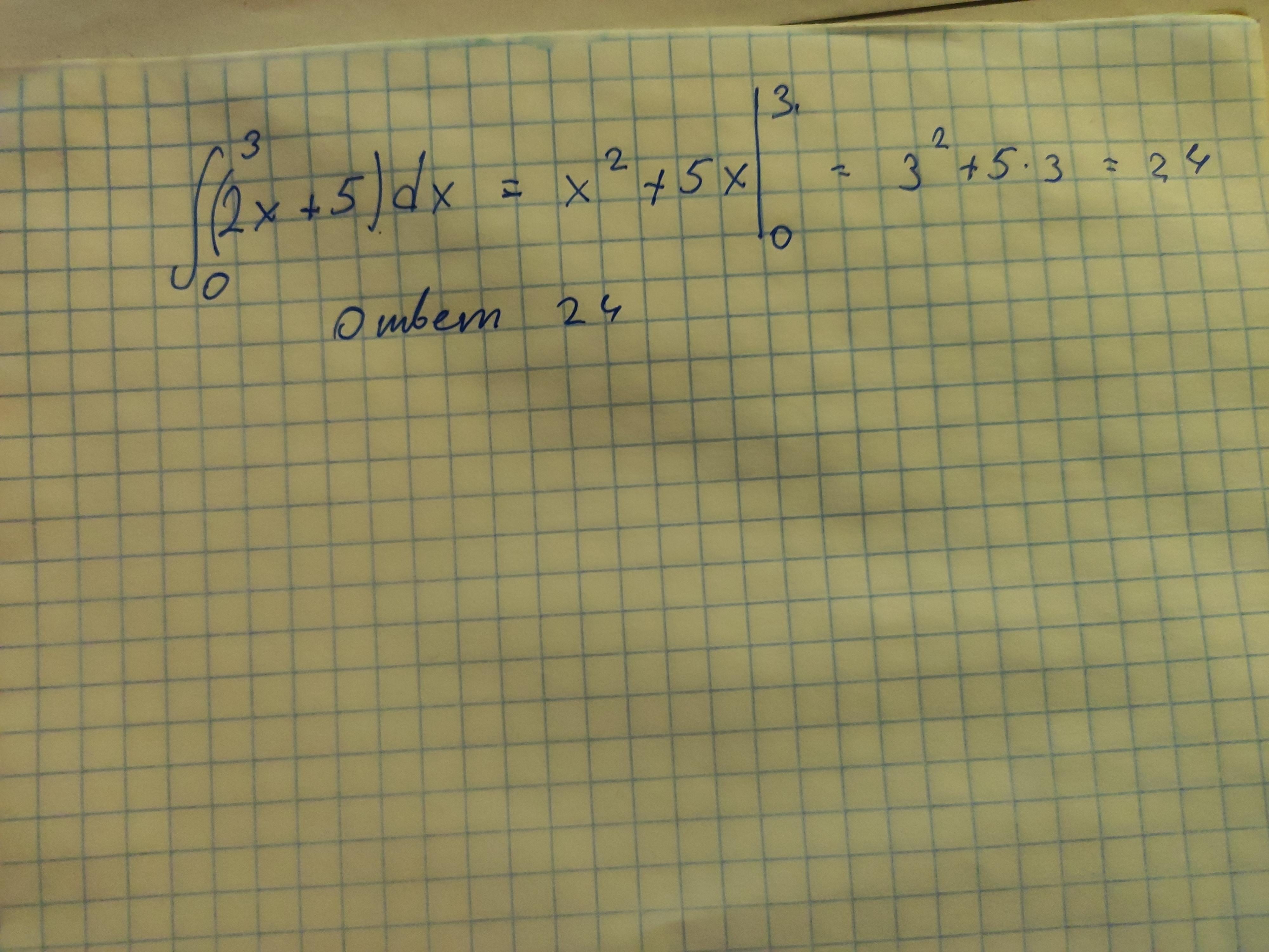
Определить площадь фигуры , образованной функцией у=2х+5 и осью при изменении х от 0 до 3. (При помощи интеграла)

Приложения:

Ответы

Ответ дал: niko151983
1

Ответ: 24

Пошаговое объяснение:

Приложения:
Вас заинтересует