• Предмет: Математика
  • Автор: Juliamay5
  • Вопрос задан 3 года назад

Помогите пожалуйста!
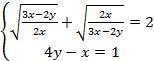
Решите систему уравнений:

Приложения:

Ответы

Ответ дал: dnepr1
1

Примем первое подкоренное выражение за t, тогда второе будет (1/t).

Получили \sqrt{t} +\sqrt{\frac{1}{t}} =2.  Возведём в квадрат обе части уравнения.

t+2\sqrt{t*\frac{1}{t} } +\frac{1}{t} =4.  

t+\frac{1}{t} =2.

Приведя к общему знаменателю преобразуем в квадратное уравнение: t² - 2t + 1 = 0 или (t - 1)² = 0. Отсюда t = 1.

Приравняем первое подкоренное выражение единице.

\frac{3x-2y}{2x} =1,\\3x-2y=2x,\\x = 2y.

Подставим полученное значение во второе заданное уравнение,

4у - 2у = 1,

2у = 1,

у = 1/2, тогда х = 2*(1/2) = 1.

Ответ: х = 1, у = 1/2.


Juliamay5: Большое спасибо!
Вас заинтересует