• Предмет: Алгебра
  • Автор: yryri
  • Вопрос задан 3 года назад

Решите систему уравнений

буду благодарна за полный ответ

Приложения:

Ответы

Ответ дал: mmb1
2

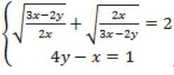
√(3x - 2y)/2x + √2x/(3x - 2y) = 2

4y - x = 1

ограничений полно, проверим когда корни найдем

√(3x - 2y)/2x = t

t + 1/t - 2 = 0

t² - 2t + 1 = 0

(t - 1)² = 0

t = 1

√(3x - 2y)/2x = 1

(3x - 2y)/2x = 1

3x - 2y = 2x

x = 2y

во второе

4y - 2y = 1

y = 1/2

x = 1

проверка

4*1/2 - 1 = 1

√(3x - 2y)/2x  = √(3 - 2*1/2)/2 = 1

ответ (1, 1/2)


yryri: благодарю за ответ)
Вас заинтересует