• Предмет: Алгебра
  • Автор: asembazarbaeva798
  • Вопрос задан 3 года назад

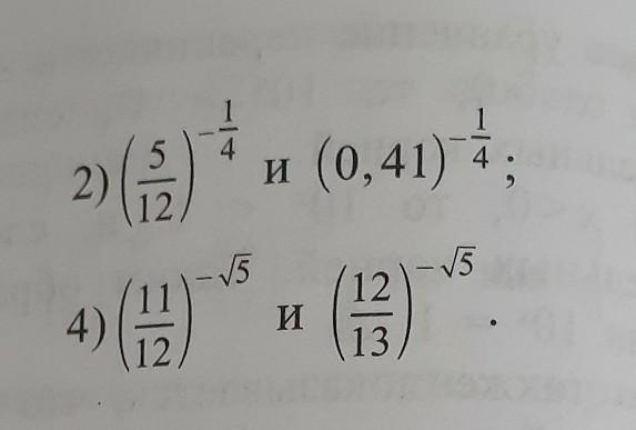
сравните числа! срочно пж!!! алгебра 8 класс​

Приложения:

Ответы

Ответ дал: lemyrka24
1

Ответ:

2) <

4) >

нужны символы ооооооооооооо

Вас заинтересует