• Предмет: Математика
  • Автор: step31121981
  • Вопрос задан 3 года назад

Я Вас прошу МАТЕМАТИКИ!!!
ПОМОГИТЕ ПОЖАЛУЙСТА! КТО СКОЛЬКО СМОЖЕТ! Сегодня сдать нужно.
Дам 50 балов

Приложения:

asphyxik: с меня абв
step31121981: Спасибо большое

Ответы

Ответ дал: asphyxik
1

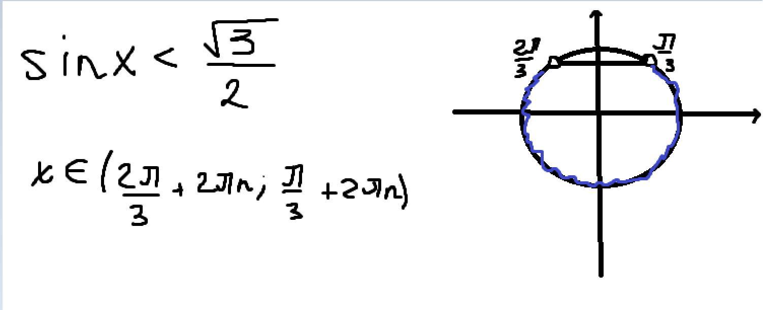
Ответ:

( ) / { } - множество, исключая то, что в фигурных скобках

Пошаговое объяснение:

Приложения:
Вас заинтересует