Ответы
Ответ дал:
1
Ответ:
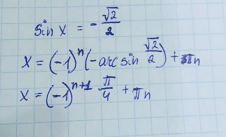
Вот, держи мой ответ, пожалуйста)
Приложения:

Вас заинтересует
2 года назад
2 года назад
2 года назад
7 лет назад
9 лет назад