• Предмет: Алгебра
  • Автор: gozalosmonova8
  • Вопрос задан 3 года назад

Решите уравнение,
приводимое к квадратному:
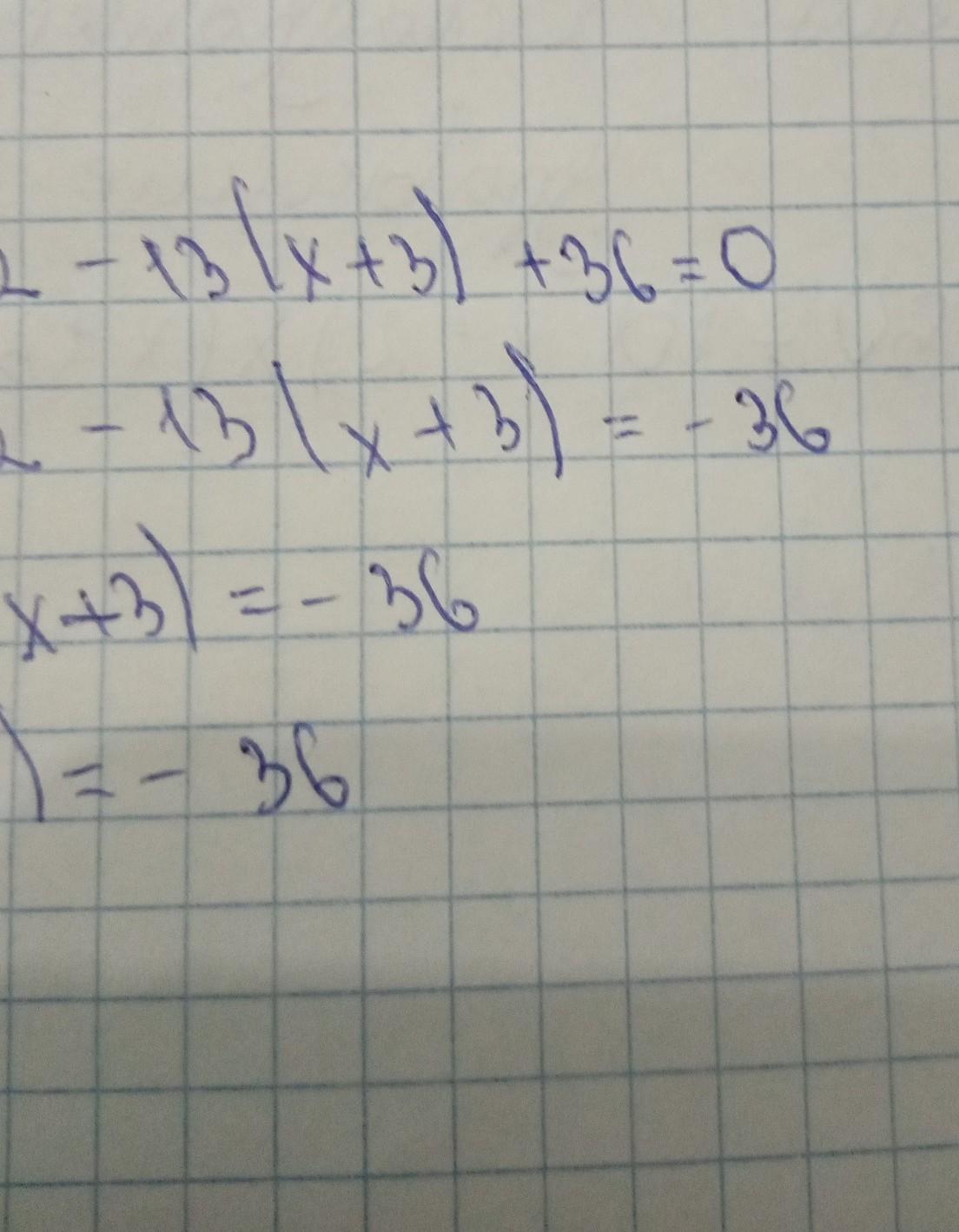
(х+3)2 – 13(х+3) + 36 =0​

Ответы

Ответ дал: damelio21
1

Ответ:

Вот, надеюсь правельно, но так то решение упростили

Приложения:
Вас заинтересует