• Предмет: Математика
  • Автор: fordestiny
  • Вопрос задан 3 года назад

- ПЛИЗ вычислите 1 пример ! -
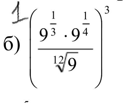
10 класс. Ответ: 27, нужно решение

Приложения:

Ответы

Ответ дал: krampus777
2

Ответ:

( \frac{9 {}^{ \frac{1}{3} } \times  {9}^{ \frac{1}{4} }  }{ \sqrt[12]{9} } ) {}^{3}  = ( \frac{9 {}^{ \frac{7}{12} } }{ \sqrt[12]{ {3}^{2} } }  {)}^{3}  = ( \frac{ ({3}^{2} ) {}^{ \frac{7}{12} } }{ \sqrt[6]{3} } {)}^{3}   = ( \frac{ {3}^{ \frac{7}{6} } }{ \sqrt[6]{3} }  {)}^{3}  = ( \frac{ \sqrt[6]{ {3}^{7} } }{ \sqrt[6]{3} }  {)}^{3}  =  \sqrt[6]{729}  {}^{3}  =  \sqrt{729}  = 27


fordestiny: Большое спасибо! Теперь понятнее как решать такое.
krampus777: Не за что)
Вас заинтересует