• Предмет: Математика
  • Автор: SashaHutsul
  • Вопрос задан 3 года назад

СРОЧНО!!!

вычислить производную!

Приложения:

Ответы

Ответ дал: Miroslava227
1

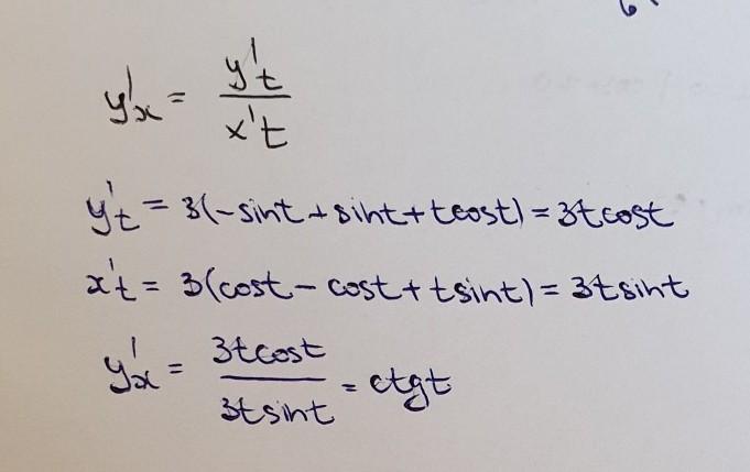
Ответ:

решение на фотографии

Приложения:
Вас заинтересует