• Предмет: Математика
  • Автор: Cl0se
  • Вопрос задан 3 года назад

СРОЧНО дам 20 баллоов!!!!!!!!!!!!!!!!!!!!1

Приложения:

Ответы

Ответ дал: jekadva
0

Ответ:

Пошаговое объяснение:

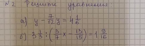
y - (7/12)y = 4 1/6

(5/12)y = 4 1/6

y = 4 1/6 : 5/12

y = 25/6 * 12/5

y = 10

=============

3 1/3 : ((3/7)x - 13/15) = 1 9/16

(3/7)x - 13/15 = 3 1/3 : 1 9/16

(3/7)x - 13/15 = 10/3 * 16/25

(3/7)x - 13/15 = 32/15

(3/7)x = 32/15 + 13/15

(3/7)x = 45/15 = 3

x = 3 * 7/3

x = 7


Cl0se: там не правильно
jekadva: тебе ли судить
Вас заинтересует