• Предмет: Математика
  • Автор: showdogy81
  • Вопрос задан 3 года назад

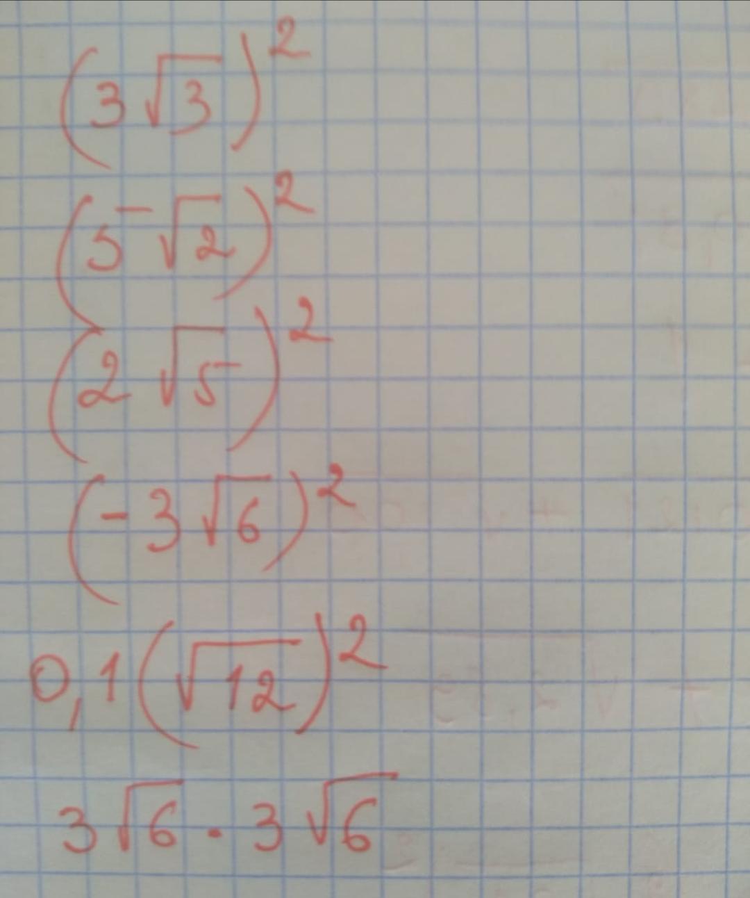
Помогите с алгеброй (примеры)
Заранее спасибо

Приложения:

Ответы

Ответ дал: maraghersh
0

(3√3)²=9×3=27

(5√2)²=25×2=50

(2√5)²=4*5=20

(-3√6)²=9×6=54

0,1×(√12)²=0,1×12=1,2

3√6×3√6=3×3×6=54

Вас заинтересует