• Предмет: Математика
  • Автор: элджей163рус
  • Вопрос задан 3 года назад

Хелп плиз!!!
Напишите пожалуйста на листочке

Приложения:

Ответы

Ответ дал: Miroslava227
0

Пошаговое объяснение:

Ответ: 3

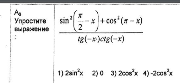
 \frac{ { \sin }^{2} ( \frac{\pi}{2}  - x) +  { \cos }^{2} (\pi -  x  }{tg( - x)ctg( - x) }  =  \\  =  \frac{ { \cos}^{2} (x) +   { \cos }^{2} (x)}{1}  = 2 { \cos}^{2} (x)

Вас заинтересует
8 лет назад