Ответы
Ответ дал:
0
Ответ:
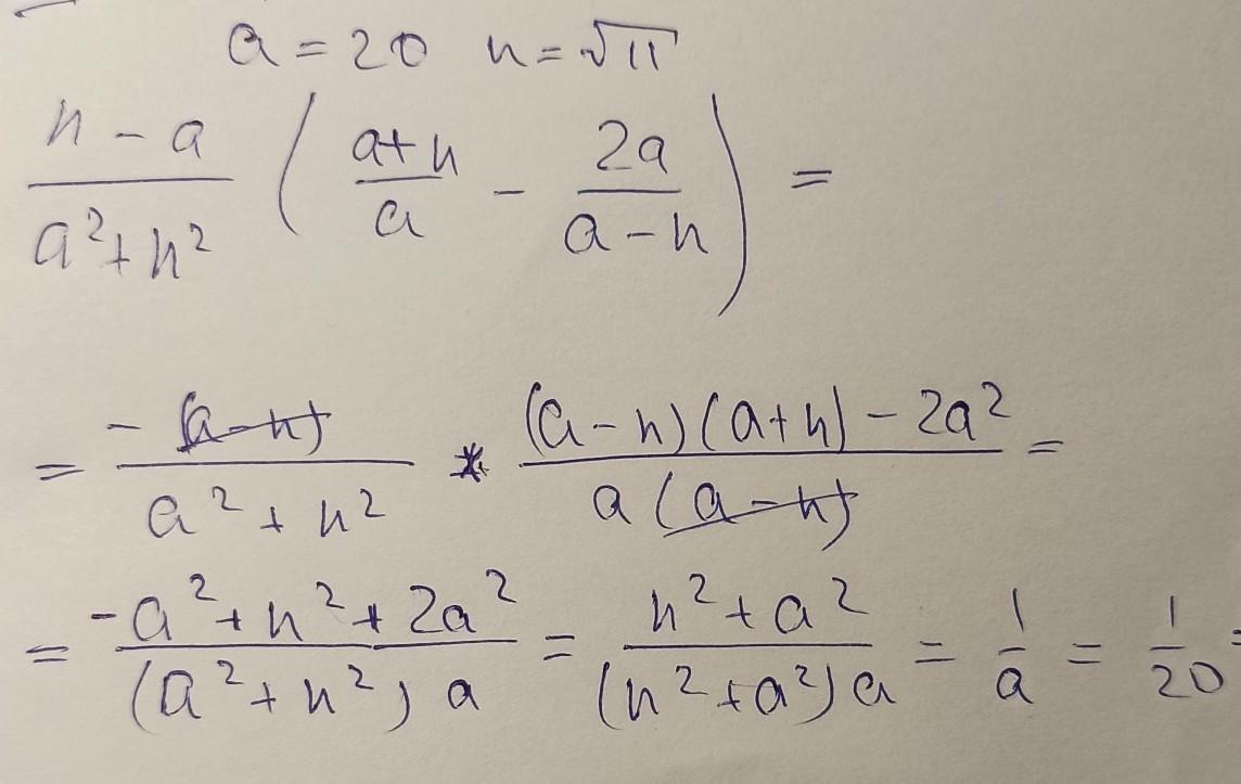
0,05
Объяснение:
на фотографии должно быть всё понятно
Приложения:

ggghhkkq:
Можете решить вопрос на 50 баллов пожалуйста
Вас заинтересует
2 года назад
2 года назад
7 лет назад
9 лет назад