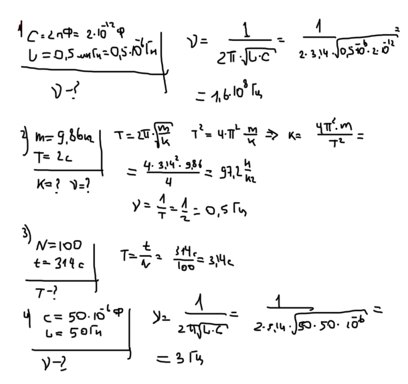
1)колебательный контур состоит из конденсатора емкостью 2 пФ и катушки с индуктивность 0,5 мкГн. Определить частоту колебаний в контурне
2)Груз массой 9,86 кг колеблется на пружине, имея период колебаний 2 с Чему равна жесткость пружины? Какова частота колебаний груза?
3)Математический маятник длиной 2,45 метра совершил 100 колебаний за 314 секунд. Определить период колебания .
4Колебательный контур состоит из кондинсатора емкостью 50мкф и котушки индкутивностью 50Гн.Каков собственный период колебаний контура?
Ответы
Ответ дал:
0
смотри решение в приложении
Приложения:

Вас заинтересует
2 года назад
2 года назад
8 лет назад
10 лет назад
10 лет назад