Ответы
Ответ дал:
1
Ответ на фото, удачи:
Приложения:

Ответ дал:
1
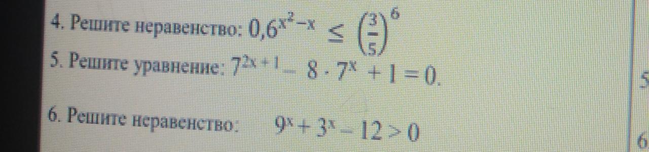
Ответ:
основание < 1, знак меняется
х принадлежит (-беск: -2]U[3;+ беск)
____________
замена
____________
замена
нет решения
ответ: х > 1.
Вас заинтересует
2 года назад
2 года назад
2 года назад
7 лет назад