Ответы
Ответ дал:
0
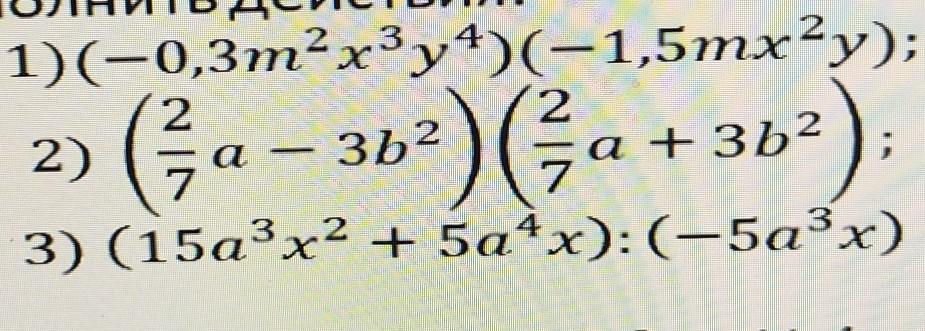
решение 1 задания
.................
.................
Приложения:

Вас заинтересует
2 года назад
2 года назад
2 года назад
2 года назад
7 лет назад
7 лет назад