Здравствуйте! Прошу пожалуйста помочь решить вот эту систему уравнений.
Прикрепила скриншот
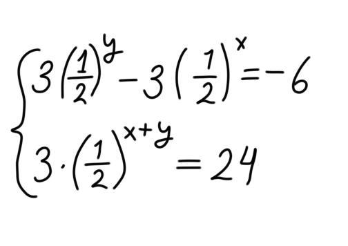
Оно же, в письменном варианте, если у кого-то не грузится скриншот:
3 * (1/2)^y - 3 (1/2)^x = -6
3 * (1/2)^x+y = 24
Приложения:

Ответы
Ответ дал:
1
Ответ: (-2; -1)
Решение:
в файле
Приложения:

Вас заинтересует
2 года назад
7 лет назад
7 лет назад