• Предмет: Алгебра
  • Автор: Джуманджи911
  • Вопрос задан 3 года назад

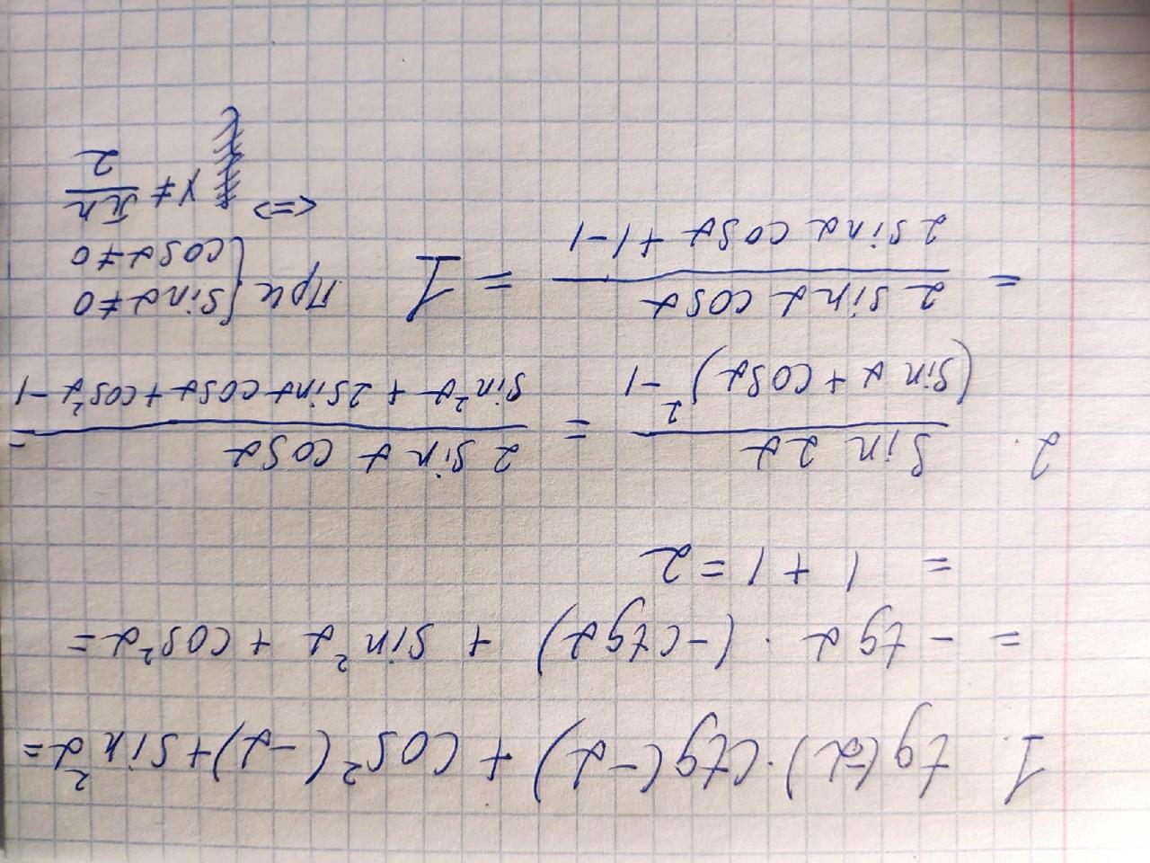
Тригонометрия, упростить, даю 40 баллов, ответ лучше дать фотографией, можно и 1 задание сделать, а лучше 2))

Приложения:

Ответы

Ответ дал: lemonnotlemon
2

Cмотрите ответ во вложенном файле

Приложения:
Вас заинтересует