Ответы
Ответ дал:
1
Ответ:
Объяснение:
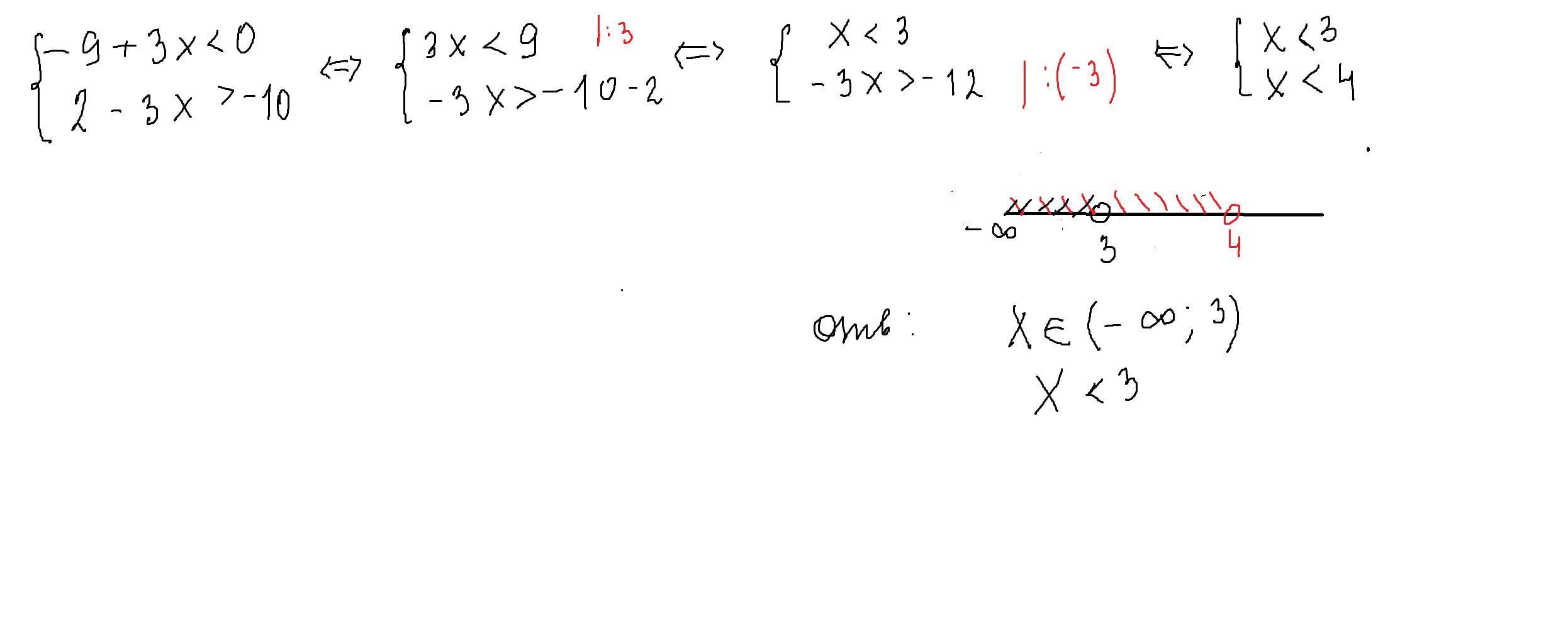
решение внизу
какой рисунок нужен-не знаю,ответ записала и в виде неравенства и в виде промежутка
Приложения:

Вас заинтересует
2 года назад
2 года назад
2 года назад
7 лет назад
7 лет назад
9 лет назад