Ответы
Ответ дал:
1
Ответ:
1. (0,4+0,437)(0,4-0,437)+0,437²=
0,16-0,1748+0,1748-0,190969+0,190969=0,16
2. (10-0,01)(10-0,01)-10²-0,01²=100-0,0001-0,1+0,1+100+0,0001=200
lolrisertv:
спасибо огромное
Ответ дал:
1
Ответ:
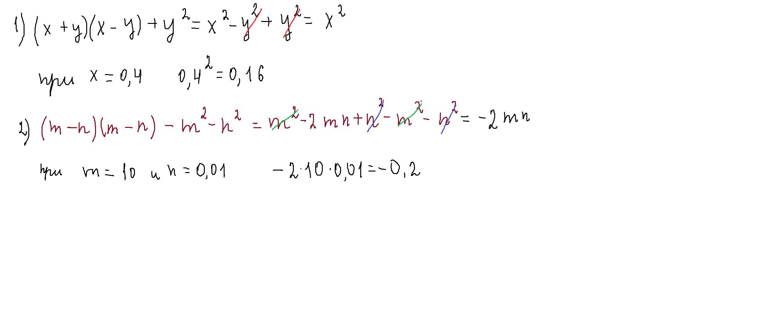
Объяснение:
решение внизу
Приложения:

Вас заинтересует
2 года назад
2 года назад
2 года назад
7 лет назад