• Предмет: Алгебра
  • Автор: fluffyminho
  • Вопрос задан 3 года назад

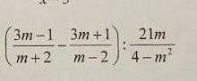
УПРОСТИТЕ ПРИМЕР!!! ПОМОГИТЕ ПЖ​

Приложения:

Ответы

Ответ дал: anna07027
0

Ответ:

2/3 ))))

Объяснение:

вот такой ответ

Вас заинтересует