75 Баллов. Умоляю решите все задания с решением!!!!!!!!
Приложения:

orehovgleb124:
Кто-нибудь решите ПОЖАЛУЙСТО!
Ответы
Ответ дал:
0
Ответ:
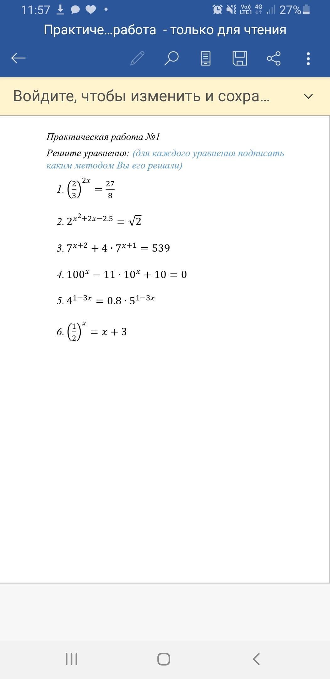
Всё, кроме 6 на фото
Объяснение:
6 помощи в интернете
Приложения:



Вас заинтересует
2 года назад
2 года назад
7 лет назад
7 лет назад
9 лет назад