• Предмет: Математика
  • Автор: kutya9462
  • Вопрос задан 3 года назад

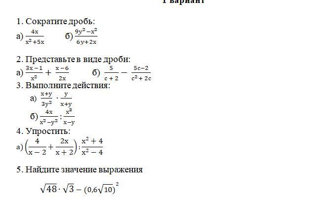
абвгд математика памагити

Приложения:

Ответы

Ответ дал: ganiyevazuxra6
1

Ответ:

 \frac{4x}{ {x}^{2} + 5x }   =  \frac{4x}{x(x + 5)}  =  \frac{4}{x + 5}

 \frac{9 {y}^{2} -  {x}^{2}  }{6y + 2x}  =  \frac{(3y - x)(3y + x)}{2(3y + x)}  =  \frac{3y - x}{2}

 \frac{3x - 1}{ {x}^{2} }  +  \frac{x - 6}{2x}  =  \frac{6x - 2 +  {x}^{2} - 6x }{2 {x}^{2} }  =  \frac{ {x}^{2} - 2 }{2 {x}^{2} }

 \frac{5}{c + 2}  -   \frac{5c - 2}{ {c}^{2} + 2c }  =  \frac{5}{c + 2 }  -  \frac{5c - 2}{c(c + 2)}  =  \frac{5c - 5c + 2}{c(c + 2)}  =  \frac{2}{c(c + 2)}

 \frac{x + y}{3 {y}^{2} }  \times  \frac{y}{x + y}  =  \frac{1}{3y}

 \frac{4x}{ {x}^{2}  -  {y}^{2} }  \div  \frac{ {x}^{3} }{x - y}  =  \frac{4x}{(x - y)(x + y)}  \times  \frac{x - y}{ {x}^{3} }  =  \frac{4}{ {x}^{2}(x + y) }

( \frac{4}{x - 2}  +  \frac{2x}{x + 2} ) \div  \frac{ {x}^{2} + 4 }{ {x}^{2} - 4 }  = ( \frac{4x + 8 + 2 {x}^{2}  - 4x}{(x - 2)(x + 2)})  \times  \frac{(x - 2)(x +2)}{ {x}^{2} + 4 }  =  \frac{2 {x}^{2} + 8 }{(x - 2)(x + 2)}  \times  \frac{(x - 2)(x + 2)}{ {x}^{2}  + 4}  =  \frac{2(x + 4)}{ {x}^{2}  + 4}

 \sqrt{48}  \times  \sqrt{3}  \times  {(0.6} \sqrt{10} )^{2}  =  \sqrt{ {4}^{2} \times  {3}^{2}  }  \times  {( \frac{3}{5}  \sqrt{10} )}^{2}  = 12 \times  \frac{9}{25}  \times 10 =  \frac{216}{5}  = 43 \frac{1}{5}

Вас заинтересует