• Предмет: Математика
  • Автор: Walnutpe
  • Вопрос задан 3 года назад

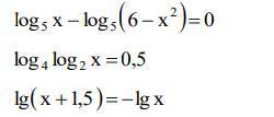
Помогите с математикой!
Решите логарифмические уравнения!

Приложения:

Ответы

Ответ дал: pastabo
0

////////////////////////

Приложения:

Walnutpe: Большое спасибо!
pastabo: Пожалуйста
Walnutpe: В первом кстати неправильно. Правильный ответ 4.
Вас заинтересует