• Предмет: Алгебра
  • Автор: karina20082004ks
  • Вопрос задан 3 года назад

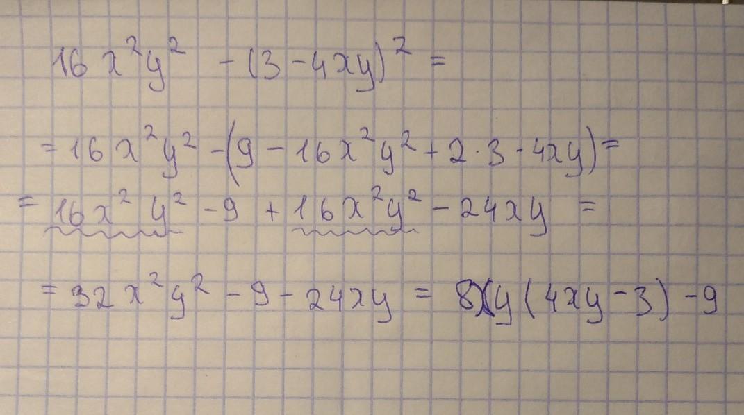
16x²y²-(3-4xy)²
как решить помогите срочно​

Ответы

Ответ дал: uliana808
0

Ответ:

16x²y²-(3-4xy)²=16x²y²-9+24xy+16x²y²=-9+24xy

Объяснение:

в формулу :"(а+/-в)²=а²+/-2ав+в²"

потом 16х²у² и -16х²у² сокращаются

в итоге выходит :"-9+24xy"


ptyaev: вы, кажется ошиблись со знаками,скобки,если перед ними стоит знак минус,раскрываются с противоположным знаком. Поэтому 16х²y² и 16х²у2 дают 2×(16х²у²)=32х²у²
ptyaev: я ошибся в комментарии там не у2,а y² должно быть
Ответ дал: ptyaev
0

я проверил,вроде правильно

Приложения:

ptyaev: почему 3?
Вас заинтересует