• Предмет: Алгебра
  • Автор: XselloZ
  • Вопрос задан 3 года назад

очень нужно! срочно! 75 баллов!

Приложения:

Ответы

Ответ дал: Miroslava227
0

Ответ:

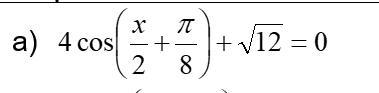
 \cos( \frac{x}{2} +  \frac{\pi}{8}  )  =  -  \frac{ \sqrt{12} }{4}  \\  \cos( \frac{x}{2} +  \frac{\pi}{8}  )  =  -  \frac{ \sqrt{3} }{2}  \\  \\  \frac{x1}{2}  +  \frac{\pi}{8}  =  \frac{5\pi}{6}  + 2\pi \: n \\  \frac{x1}{2}  =  \frac{5\pi}{6}  -  \frac{\pi}{8}  + 2\pi \: n \\  \frac{x1}{2}  =  \frac{17\pi}{24}  + 2\pi \: n \\ x1 =  \frac{17\pi}{12}  + 4\pi \: n \\  \\  \frac{x2}{2}  +  \frac{\pi}{8}  =  -  \frac{5\pi}{6}  + 2\pi \: n \\  \frac{x2}{2}  =  -  \frac{5\pi}{6}  -  \frac{\pi}{8}  + 2\pi \: n \\  \frac{x2}{2}  =  -  \frac{25\pi}{24}  + 2\pi \: n \\ x2 =  -  \frac{25\pi}{12}  + 4\pi \: n

n принадлежит Z.

Вас заинтересует