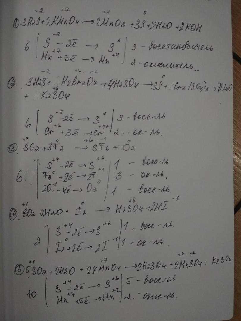
Используя метод электронного баланса ,расставитесь коэффициенты в уравнениях реакций,схемы которы:
1 ) H2S+KMnO4=MnO2+S+H2O+KOH
2)H2S+K2Cr2O7+H2SO4=S+Cr2(SO4)3+H2O+K2SO4
3)SO2+F2=SF6+O2
4)SO2+H2O+I2=H2SO4+HI
5) SO2+H2O+KMnO4=H2SO4+MnSO4+K2SO4
Определить окислитель и восстановитель.
Спасибо
Приложения:

Ответы
Ответ дал:
1
Ответ:
смотрите вложение , вроде все понятно написано .
Объяснение:
Приложения:

Вас заинтересует
2 года назад
2 года назад
2 года назад
2 года назад
7 лет назад
9 лет назад
9 лет назад