• Предмет: Алгебра
  • Автор: zarahe
  • Вопрос задан 3 года назад

ПРМОГИТЕ ПОЖАЛУЙСТА РЕШИТЬ​

Приложения:

kanastasia7777: я ответить не могу...пишет что нельзя

Ответы

Ответ дал: Veronika724
0

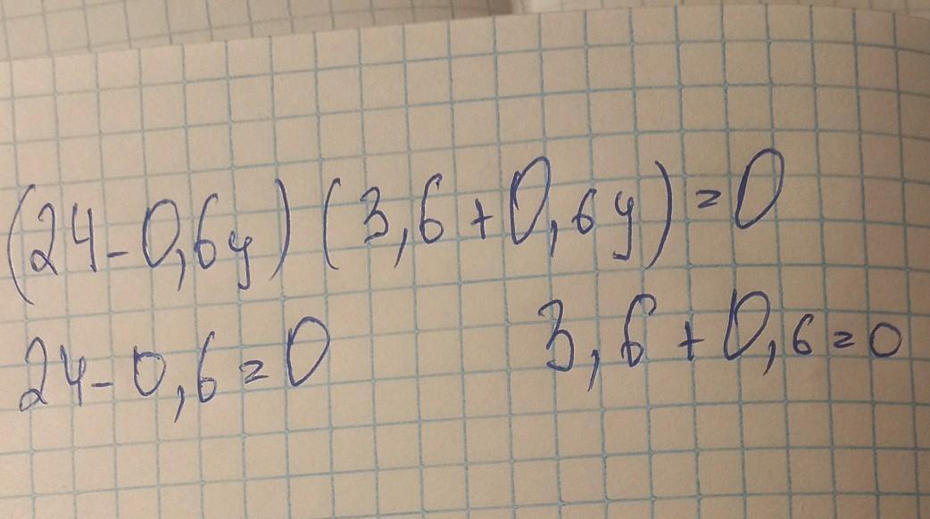
(24-0,6y)(3,6+0,6y) = 0

Произведение равно нулю, когда хотя бы один из множителей равен нулю.

\left[\begin{gathered}24-0,6y = 0\\3,6 + 0,6y = 0\\\end{gathered}\ \ \ \Leftrightarrow\ \left[\begin{gathered}0,6y = 24\\0,6y = -3.6\end{gathered}\ \ \ \Leftrightarrow\ $\left[\begin{gathered}y = 40\\y = -6\end{gathered}

Ответ: -6; 40.

Ответ дал: olesia230807
0

24–0,6y=0 3,6+0,6y=0

–0,6y=–24 0,6y=–3,6

y=40 y=–6

Вас заинтересует